日照市区2024年第1批政府公共租赁住房拟配租房源公示
鲁网2月24日讯 近日,市住建局公布了2024年第一批公租房拟配租房源和合格人员名单,面向社会公示。
日照市区2024年第1批
政府公租房拟配租房源公示
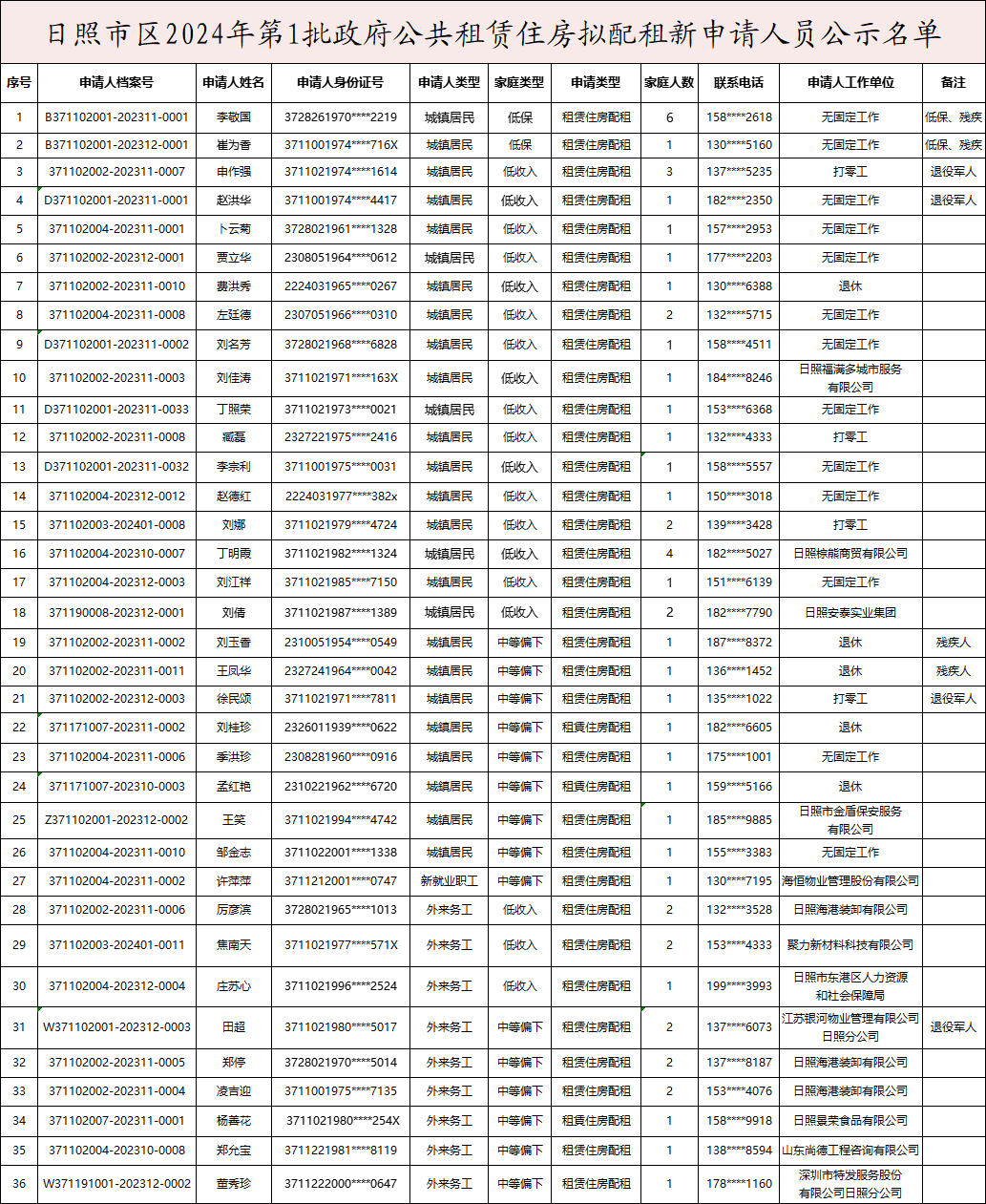
本次拟配租政府公共租赁住房房源共45套,具体分布如下:一、兴海路政府公共租赁住房房源共6套,分别是:1504室,2001室,1703室,1801室,1906室,2601室。座落位置:位于正阳路东、兴海路南,户型面积60平方米左右。二、祥博社区政府公共租赁住房房源共4套,分别是:8-2-301室,8-3-203室,9-3-403室,9-3-501室。座落位置:位于天津路南、海滨五路西,户型面积60平方米左右。三、聊城路政府公共租赁住房房源共19套,其中:3号楼17套,分别是:1202室,1511室,1303室,1306室,1411室, 1513室, 1609室,1610室,1611室,1613室,1707室,1711室,1712室,1713室,2507室,2511室,1704室;6号楼2套,分别是:6-2-804室,6-2-1402室。座落位置:位于烟台路以西、北京路以东、东港区实验学校以南,户型面积40-60平方米左右。四、鼎丰工贸小区政府公共租赁住房房源2套,分别是:B栋-西602室,B栋-东1602室。座落位置:位于富阳路与潍坊路交汇处,户型面积60平方米左右。五、中盛幸福苑政府公共租赁住房房源共5套,分别是:13--1-203室,13-3-504室,13-4-401室,13-4-404室,15-2-501室。座落位置:位于海滨五路南端88号,户型面积50平方米左右。六、东韩家村西花园小区政府公共租赁住房房源1套:8号楼西单元601室。座落位置:位于连云港路南,连云港路小学东侧,户型面积50平方米左右。七、新营华府公寓楼B区政府公共租赁住房房源8套,分别是:1216室,1420室,1518室,1916室,2106室,2419室,2509室,2705室。座落位置:位于威海路东侧新营小学对面,户型面积45-60平方米左右。人员名单点击可放大查看


一、城市住房保障方式、范围、对象
(一)城市住房保障方式:发放租赁住房补贴和政府公共租赁住房配租。(二)保障范围:日照街道、石臼街道、秦楼街道、北京路街道、奎山街道、卧龙山街道、两城街道及香河片区。(三)保障对象:城市中等偏下和低收入住房困难家庭、新就业职工和稳定就业的外来务工人员。
二、租赁住
房补贴申请条件
(一)城市居民申请租赁住房补贴应同时具备以下条件:
1.具有《日照市城市住房保障管理办法》(以下简称《办法》)适用区域内常住户口及已取得居民居住证的台湾同胞;
2.城市居民夫妻双方平均年龄、单亲家庭及未婚申请人达到法定结婚年龄以上;
3.家庭成员人均年可支配收入低于本市上年度城镇居民人均可支配收入;
4.《办法》适用区域内无房或者人均居住建筑面积低于10平方米。《办法》所称家庭成员是指家庭夫妇双方与同户口未婚子女,包括单亲家庭。
(二)新就业职工申请租赁住房补贴应同时具备以下条件:
1.具有《办法》适用区域内居住证或常住户籍;
2.新就业大中专毕业生,不满28周岁;
3.家庭成员人均年可支配收入低于本市上年度城镇居民人均可支配收入;
4.《办法》适用区域内无房或者人均居住建筑面积低于10平方米;
5.被《办法》适用区域内机关事业单位录(聘)用或者与依法注册登记的单位签订劳动合同,并按规定缴纳社会保险或者住房公积金。
(三)稳定就业的外来务工人员申请租赁住房补贴应同时具备以下条件:
1.具有《办法》适用区域内居住证;
2.家庭成员人均年可支配收入低于本市上年度城镇居民人均可支配收入;
3.《办法》适用区域内无房或者人均居住建筑面积低于10平方米;
4. 在日照市适用区域内稳定就业并办理就业登记、正常缴存社会保险或住房公积金。
(四)新就业无房职工发放阶段性住房租赁补贴应同时具备以下条件:
2021年1月1日以后在日照市城区内首次就业并办理就业登记,正常缴存社会保险和住房公积金的新就业职工;
具有《办法》适用区域内居住证或常住户籍;
在日照市城区内以家庭为单位无自有住房,需在《办法》适用区域通过租赁住房方式解决居住困难问题。
三、政府公租房配租申请条件
(一)城市居民申请住房配租应同时具备以下条件:1.具有《办法》适用区域内常住户口及已取得居民居住证的台湾同胞;2.夫妻双方平均年龄28周岁以上,单亲家庭及未婚申请人年龄在28周岁以上;3.家庭成员人均年可支配收入低于本市上年度城镇居民人均可支配收入;4.《办法》适用区域内无房或者人均居住建筑面积低于10平方米。《办法》所称家庭成员是指家庭夫妇双方与同户口未婚子女,包括单亲家庭。(二)新就业职工申请住房配租应同时具备以下条件: 1.具有《办法》适用区域内居住证或常住户籍;2.新就业大中专毕业生,不满28周岁;3.家庭成员人均年可支配收入低于本市上年度城镇居民人均可支配收入;4.《办法》适用区域内无房或者人均居住建筑面积低于10平方米;5.被《办法》适用区域内机关事业单位录(聘)用或者与依法注册登记的单位签订劳动合同,并按规定缴纳社会保险或者住房公积金。(三)稳定就业的外来务工人员申请住房配租应同时具备以下条件: 1.具有《办法》适用区域内居住证;2.家庭成员人均年可支配收入低于本市上年度城镇居民人均可支配收入;3.《办法》适用区域内无房或者人均居住建筑面积低于10平方米;4.与《办法》适用区域内依法注册登记的单位签订1年以上劳动合同,并按规定缴纳社会保险或者住房公积金1年以上。
四、申请人家庭有下列情形之一的,认定为不符合申请条件
1.申请人拥有房屋而产权证在他人名下或者未办产权证的(包括已签订商品房预售合同);
2.申请人居住父母或者子女名下市区内房屋的;
3.最近5年内申请人及家庭成员名下有房屋产权转移登记或者享受房屋征收拆迁货币补偿的;
4.申请家庭拥有汽车价值超过6万元(车辆价值以购置发票为准)及车辆转移不满两年的;
5.申请人家庭成员在注册资金超过20万元(以企业注册登记为准,不按是否实际出资认定)的工商企业或者民办非企业单位中出资,或担任法定代表人(负责人)、董事(理事)、监事等职务的。已购买过经济适用住房、集资合作建房、房改房等政策性住房的以及承租企业公租房的,不得申请住房保障(对于上述家庭成员中子女符合住房保障条件的,或者申请人夫妇双方离异,根据离婚协议或法院判决、裁定、调解书,无房的一方符合住房保障条件的除外);享受日照市新引进人才租房补贴和购房补贴等政策的,不应重复享受住房保障;申请人的家庭成员为外地户籍且已在户籍地享受住房保障的,不重复享受保障。
五、中等偏下、低收入家庭标准线
中等偏下收入、低收入家庭标准线以统计部门公布的上年度人均可支配收入数据为准。目前,中等偏下收入标准线为年人均可支配收入4.0798万元以下,低收入家庭标准为年人均可支配收入2.8558万元以下,低保、困难职工家庭以民政部门、总工会认定为准。
人均可支配收入是指居民家庭可以用来自由支配的收入,是总收入中扣除应缴纳的所得税和个人交纳的各种社会保障支出以后的收入。可支配收入既包括现金,也包括实物收入。按照收入的来源,可支配收入包含四项,分别为:工资性收入、经营净收入、财产净收入和转移净收入。
六、申请住房保障应提交的材料
(一)《住房保障申请审核表》;
(二)家庭成员身份证件、户口簿原件及复印件;
(三)家庭成员收入证明或者收入情况承诺;
(四)填写住房保障诚信承诺书;
(五)房屋租赁备案证明(申请租赁住房补贴的家庭);
(六)车辆购置证明;新就业职工还需提供毕业证书、劳动合同或者聘用合同原件及复印件;稳定就业的外来务工人员提供劳动合同原件及复印件。
新就业职工和稳定就业的外来务工人员申请承租政府投资的公共租赁住房,原则上由单位统一向所在地街道办事处提出申请。
七、住房保障申请确认程序
(一)报名受理
街道办事处受理申请报名并对申请人提交材料进行初审。初审合格的每季度末月在本辖区进行公示5天。
(二)集中审核
区住建部门会同公安、民政、工会、人力资源社会保障、市场监管、住房公积金管理、税务、人民银行、银保监、房屋产权登记机构进行集中审核、确认。
(三)确认公示
经确认具有住房保障资格的申请人,区住建部门登记为住房保障对象,向社会公示7天。经公示无异议或者异议经核实不成立的,区住建部门将确认情况报市住建部门备案。
八、政府公共租赁住房配租
政府投资的公共租赁住房达到入住条件后,住建部门应当公布房源项目、位置、数量、套型面积、租金标准及选房或轮候(房源不足实行轮候)顺序等信息,并组织配租。城市居民特别是低保、困难、优抚对象、残疾人等可以优先配租。公共租赁住房配租户型及建筑面积原则上应当与申请人的家庭与保障人口相对应,一人和二人以一室户型为主。无完全民事行为能力或无生活自理能力的申请人,不予配租。
九、政府公共租赁住房租金价格
目前,日照城区政府公共租赁住房租金核定价为每月9元/平方米,承租政府公共租赁住房的中等偏下家庭、低收入家庭、低保困难职工家庭分别按照实际承租房屋市场租金的50%、 70%、90%核减租金, 不再发放补贴。
十、租赁住房补贴标准
日照城区租赁住房补贴标准:
城市低保和困难职工家庭每月12元/平方米;城市低收入家庭每月10元/平方米;城市中等偏下收入家庭、城市新就业职工、稳定就业的外来务工人员每月9元/平方米。
核算补贴面积:1人的保障家庭按30平方米;2人的保障家庭按45平方米;3人及以上的保障家庭按60平方米。
新就业无房职工发放阶段性住房租赁补贴补贴标准:
1.阶段性补贴政策自2021年5月1日起执行,累计发放期限为36个月。
2.阶段性补贴发放按照学历层次确定补贴标准:
具有全日制专科及以下学历的300元/月;全日制本科学历的350元/月;全日制硕士研究生学历的 400元/月;全日制博士研究生学历的500元/月。
3.新就业无房职工实际承担的住房租赁费用低于补贴标准的,按实际承担的租赁费用发放;同一家庭有多个新就业无房职工的,不重复享受补贴。
4.已享受日照市人才购房补贴、人才租房补贴、安家补贴等财政列支的其他住房补贴政策或现行住房保障政策的人员不列入阶段性租赁补贴范围。
十一、补贴发放
经确认登记的保障对象,在市场上承租住房的,租赁住房补贴由区住建部门按季度发放,先租后补,不租不补。租赁住房补贴申请人到指定银行提前办理银行卡,并将卡号报送报名受理街道。
十二、住房保障管理与退出
(一)住房保障实行年度复核和不定期抽查制度。区住建部门应当对已保障对象的收入、住房等家庭信息状况每年组织重新核定,并根据审核的结果作出延续、调整以及终止补贴或者配租的决定。
(二)市住建部门与承租人签订《公共租赁住房租赁合同》,租赁期限为3年。在租赁期届满需要续租的,应当在租赁期满3个月前提出申请。
承租人有下列行为之一的,应当追回租赁住房补贴,退回公共租赁住房:
1.转借、转租或者擅自调换所承租公共租赁住房的;
2.改变所承租公共租赁住房用途的;
3.破坏或者擅自装修所承租公共租赁住房,拒不恢复原状的;
4.在公共租赁住房内从事违法活动的;
5.无正当理由连续6个月以上闲置公共租赁住房的;
6.累计拖欠租金6个月以上的。
承租人拒不退回公共租赁住房的,出租人可以根据有关规定和合同约定,依法申请人民法院强制执行。
十三、政府公共租赁住房房源
市区已建成政府公共租赁住房房源如下:(一)聊城路公共租赁住房。3#、6#楼,位于烟台路以西、北京路以东、东港区实验学校以南,户型面积40-60平方米左右。(二)中盛幸福苑公共租赁住房。位于海滨五路南端88号,户型面积50平方米左右。(三)怡海小区公共租赁住房。位于黄海三路北侧、青岛路西侧,户型面积50平方米左右。(四)东韩家村西花园小区公共租赁住房。位于连云港路南,连云港路小学东侧,户型面积50平方米左右。(五)兴业新营华府B座公共租赁住房。位于威海路东侧新营小学对面, 户型面积45-60平方米左右。(六)祥博社区公共租赁住房。位于天津路南、海滨五路西,户型面积60平方米左右。(七)兴海路公共租赁住房。位于正阳路东、兴海路南,户型面积60平方米左右。(八)鼎丰工贸公共租赁住房。位于潍坊路与富阳路交汇处,户型面积60平方米左右。以上房源以住房保障部门配租前公示为准。
十四、申请报名时间安排
实行常态化受理,符合条件申请人可随时到户籍所在地街道办事处报名(使用制式表格,在街道领取)。
十五、保障资格线上申请流程
渠道一:通过微信搜索“安居齐鲁”公众号,注册后,点击“政务服务”-“公租房”,选择“日照市”,点击“发起申请”,选择对应“保障对象家庭类型”,点击“下一步”,进入申请信息界面,依次填报信息、上传影像,最后点击“提交审核”,即可完成业务提报。提交审核后,点击“进度查询”可查看已提交业务的审核进度。注意事项:申请信息界面带“*”为必填,不带“*”为选填;申请区域信息请准确选择受理街道,否则业务无法正常受理。
渠道二:从电脑上通过浏览器登录公租房系统公众端(网址:https://web.zfgzf.ccbhome.cn/#/),通过网站可进行资格申请、资格年审、查询申请进度。具体操作流程“资料下载”栏目中《公众端平台操作指引》。
政策咨询和举报电话:
日照街道:8168377 石臼街道:2218898 秦楼街道:7767127 香河片区:2173018 北京路街道:8367707 奎山街道:8617077 卧龙山街道:7987531 两城街道:8512119
市住房保障管理服务中心:7979182 、7979183(本网记者)